数ブラウズ:99 著者:サイトエディタ 公開された: 2024-08-09 起源:パワード
ヒートシンクの最適設計は、特に MOSFET や IGBT などの熱負荷の高いデバイスの場合、これらのデバイスの効率的な動作と早期のコンポーネント故障を回避するために重要です。これには、大量の熱を放散する高出力デバイスに適切な冷却を提供するために、ファンとヒートシンクを組み合わせる必要があります。
文宣サーマル Energy は専門的なカスタマイズ機能と多様なアプリケーション市場を備えており、 カスタマイズ お客様のさまざまなシステムに対応した冷却製品を提供します。
図 1 に示すように、ファンの空気流をラジエーターに誘導してラジエーターの周囲の空気の流れを防ぐために、シュラウドまたはダクトがよく使用されます。これにより、ファンと冷却装置の効果的な冷却能力が低下します。 ヒートシンク 組み合わせ。
図 1: バイパスなしのヒートシンクとファンの設計
図 1 に示すファンとラジエーターの組み合わせの最適なヒートシンク間隔とその結果として生じる熱抵抗は、必要なヒートシンク サイズを迅速に見積もるためのいくつかの式を使用して直接計算できます。
ただし、一定の流量または体積流量を想定してヒートシンクのフィン間隔を最適化することは現実的ではありません。フィン間の空気流の速度は、式 1 を使用してフィンの間隔とフィンの数によって決まります。この式は、フィンの周囲にバイパス流がないため、ラジエーターに近づく空気の体積流量は、ラジエーターを通過する空気の体積流量と同じであることを示しています。ラジエーター。
図 2: 空冷フィンの寸法

Vf:フィン間の風速
V:ラジエーターへの体積流量
Hf=Hb:フィンの高さ
S:フィン間の間隔
Nf:フィンの数
フィンの間隔が狭いほど s、空気速度が高くなるほど Vf フィンの間。空気流量が多いほど、ヒートシンクの冷却効果は高くなります。ヒートシンクのサイズを最適化したい場合は、フィンの間隔を小さくする必要があります。これは、フィンの間隔が狭いほど空気流量が増加し、冷却効果も増加するためです。実際のアプリケーションでは、空気の流れはファンまたは送風機によって提供されます。流量は一定ではなく、ヒートシンクの間隔に応じてヒートシンクの圧力降下の増加によって制限されます。 s 減少します。
分析を簡素化し、重大な計算エラーを回避するために、次の仮定を立てます。
a.フィンの厚さから生じる表面積 t そしてベースの厚み b ヒートシンクの総表面積よりもはるかに小さいです。
b.熱源はヒートシンクと同じ長さと幅で、ヒートシンクベースの中央に位置します。
c.熱源とヒートシンクのベースがファンまたは送風機と完全に接触しています。
d.すべての空気流はラジエーターを通過します。
e.対流と比較すると、放射熱伝達は小さいため無視できます。
f.ラジエーターを通る空気の流れは層流で安定しています。ヒートシンクの厚さが間隔に比べて小さい s ヒートシンクの間。
ラジエーターを通る層流空気流は、ほとんどの市販のラジエーターとファンの組み合わせで機能すると仮定します。エレクトロニクスでは、ファンの騒音が重要な考慮事項であるため、層流から乱流に移行する際の重大な騒音を避けるために、ファンの速度が意図的に低下します。
ヒートシンク設計の最初のステップは、ファンとヒートシンクの組み合わせの動作点を決定することです。ファンまたは送風機をラジエーターとともに使用する場合、ファンの性能はラジエーターの設計に依存します。
図 3 に示すように、各ファンには独自の圧力/流量曲線があり、流量はファン全体の圧力降下に反比例します。図 3 に示すように、ラジエーターには、ラジエーター全体の圧力降下に比例する圧力/流量曲線もあります。ファンとラジエーターの組み合わせを通る流量は、ファンとラジエーターの圧力/流量曲線の交点になります。

図 3: ファンとラジエーターの圧力対流量曲線
ファン曲線は通常、ファンのメーカーによって提供され、通常は非常に非直線的です。多くの場合、ファンが提供する唯一のファン性能データは、最大流量と最大圧力損失です。流量の計算を簡素化し、最大流量と最大圧力降下のみが提供される状況に対応するために、ファン曲線の単純な線形近似を式 2 で表すことができます。ほとんどの場合、ファン曲線のこの線形近似により、流量の合理的な推定値が得られます。ファンのパフォーマンス曲線。
ΔP最大:最大ファン圧力降下
V最大:ファンの最大流量
複数のファンを並べて使用(並列)した場合の最大風量は、 V最大 ファンの最大流量は、1 つのファンの最大流量にファンの数を掛けたものです。
ヒートシンク両端の電圧降下は式 3 に示されています。
空気密度 ρ 周囲温度から計算されます。
水力直径 Dh フィン間のチャネルは次のように近似できます。 2秒。変数 Kc そして Ke は、それぞれラジエーターに入る空気流と出る空気流の収縮と膨張による圧力損失係数です。これらの圧力損失係数の式は、前面面積の関数です。 σ=s/(s + t) 参考資料 1 に示されている図に基づいています。
見かけの摩擦係数 fapp は、参考文献 [2] で開発されたモデルに基づいています。

、はレイノルズ数です。ここで、 ν は動粘度です。
の 式 6 の項は、ラジエーター フィン間の完全に発達した流れから生じる摩擦係数を考慮しています。完全に発達した流れは、非常に長いチャネル、または流速プロファイルが一定のままの遅い流れで発生します。

ファン/ラジエーターの動作点 (つまり、ファンとラジエーターの圧力/流量曲線の交点) を決定するには、式 2 と式 3 が等化され、未知の変数が計算されます。 決まっている。

フィンの間隔を計算する S選択する これは、式 9 を使用して最大の熱伝達を提供します。 μ そして α はそれぞれ空気の粘度と熱拡散率です。この式は Bejan らによって提案されました。参照。3.
最適なフィン間隔 S選択する はファンの圧力降下の関数です ΔPファン およびヒートシンクの圧力降下 ΔPはい。システム全体の圧力によってラジエーターを通る流量が決まり、ラジエーターの熱伝達率に影響を与えるのはこの流量です。
フィン間隔を式 9 に代入します。 s 式 8 で計算し、結果として得られる方程式を解くことによってシステムのフロー図を決定します。
お願いします式 8 は解けますが、 ΔPファン そして ΔPはい 等しい、方程式のみ 2 ΔPファン 式 9 の流れを解くときに使用する必要があります。 ΔPはい 式 3 の はフィンの間隔に依存します s、したがって、を使用して ΔPはい 式 9 を使って流量を求めることは数学的に困難です。
4.ヒートシンクの熱抵抗を計算する
式 8 の解から、流れの図と流速がわかります。 Vf ヒートシンクを介して熱伝達率とヒートシンクの熱抵抗を決定できます。
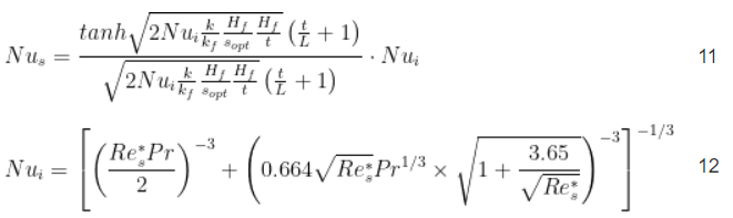
参考文献 4 の式 10、11、12、13、14 を使用して、ヒートシンクの平均熱伝達係数 hf を計算します。
どこ k 空気の熱伝導率です。

Pr は空気のプラントル数で、電子冷却に使用されるヒートシンクの一般的な動作温度範囲では、値 0.71 を使用できます。

したがって、総熱抵抗は Rはい ヒートシンクのは次のとおりです。

ラジエーターの濡れた表面積、 Aはい, ラジエーターを流れる空気と接触する面積です。
式 15 の最初の項はヒートシンクの熱抵抗で、プラス記号の後の項はヒートシンクの底面での熱抵抗です。
多様化に向けて ヒートシンクs、Wenxuan Thermal Energy は専門的なカスタマイズ機能と多様なアプリケーション市場を備えており、 カスタマイズ 冷却製品 顧客のさまざまなシステムに対応します。 その間に、 私達はします 取る 多くの要因 考慮に入れて ラジエーターを設計する際に、ラジエーターの設計を最適化および改善し続けます。他にご質問がある場合は、 ヒートシンク またはあなたのビジネスに適した冷却ソリューションが必要な場合は、お気軽にコメントを残すか、電子メールでWenxuanまでご連絡ください。