数ブラウズ:129 著者:サイトエディタ 公開された: 2024-08-09 起源:パワード
ヒートシンクの最適設計は、特に MOSFET や IGBT などの熱負荷の高いデバイスの場合、これらのデバイスの効率的な動作と早期のコンポーネント故障を回避するために重要です。これには、大量の熱を放散する高出力デバイスに適切な冷却を提供するために、ファンとヒートシンクを組み合わせる必要があります。
Wenxuan Thermal Energy は専門的なカスタマイズ能力と多様なアプリケーション市場を備えており、 顧客のさまざまなシステムに合わせて冷却製品を カスタマイズできます。
図 1 に示すように、ファンの空気流をラジエーターに誘導してラジエーターの周囲の空気の流れを防ぐために、シュラウドまたはダクトがよく使用されます。これにより、ファンと ヒートシンクの 組み合わせによる効果的な冷却能力が低下します。

図 1: バイパスなしのヒートシンクとファンの設計
図 1 に示すファンとラジエーターの組み合わせの最適なヒートシンク間隔とその結果として生じる熱抵抗は、必要なヒートシンクのサイズを迅速に見積もるためのいくつかの式を使用して直接計算できます。
ただし、一定の流量または体積流量を想定してヒートシンクのフィン間隔を最適化することは現実的ではありません。フィン間の空気流の速度は、式 1 を使用してフィンの間隔とフィンの数によって決まります。この式は、ラジエーターの周囲にはバイパス流がないため、ラジエーターに近づく空気の体積流量は、ラジエーターを通過する空気の体積流量と同じであることを示しています。

図 2: 空冷フィンの寸法
V f :フィン間の風速
V: ラジエーターへの体積流量
H f =Hb:フィンの高さ
S:フィン間の間隔
N f :フィンの数
フィン間隔 sが小さいほど、フィン間の空気流量が多いほど、ヒートシンクの冷却効果は高くなります。ヒートシンクのサイズを最適化したい場合は、フィンの間隔を小さくする必要があります。これは、フィンの間隔が狭いほど空気流量が増加し、冷却効果も増加するためです。実際のアプリケーションでは、空気の流れはファンまたは送風機によって提供されます。流量は一定ではなく、ヒートシンクの間隔 空気速度V fは高くなります。 s が減少するにつれてヒートシンクの圧力降下の増加によって制限されます。
分析を簡素化し、重大な計算エラーを回避するために、次の仮定を立てます。
a.フィンの厚さt とベースの厚さ b から生じる表面積は、 ヒートシンクの総表面積よりもはるかに小さくなります。
b.熱源はヒートシンクと同じ長さと幅で、ヒートシンクベースの中央に位置します。
c.熱源とヒートシンクのベースがファンまたは送風機と完全に接触しています。
d.すべての空気流はラジエーターを通過します。
e.対流と比較すると、放射熱伝達は小さいため無視できます。
f.ラジエーターを通る空気の流れは層流で安定しています。ヒートシンクの厚さは、 ヒートシンク間の 間隔に比べて小さい。
ラジエーターを通る層流空気流は、ほとんどの市販のラジエーターとファンの組み合わせで機能すると仮定します。エレクトロニクスでは、ファンの騒音が重要な考慮事項であるため、層流から乱流に移行する際の重大な騒音を避けるために、ファンの速度が意図的に低下します。
ヒートシンク設計の最初のステップは、ファンとヒートシンクの組み合わせの動作点を決定することです。ファンまたは送風機をラジエーターとともに使用する場合、ファンの性能はラジエーターの設計に依存します。
図 3 に示すように、各ファンには独自の圧力/流量曲線があり、流量はファン全体の圧力降下に反比例します。図 3 に示すように、ラジエーターには、ラジエーター全体の圧力降下に比例する圧力/流量曲線もあります。ファンとラジエーターの組み合わせを通る流量は、ファンとラジエーターの圧力/流量曲線の交点になります。
図 3: ファンとラジエーターの圧力対流量曲線
ファン曲線は通常、ファンのメーカーによって提供され、通常は非常に非直線的です。多くの場合、ファンが提供する唯一のファン性能データは、最大流量と最大圧力損失です。流量の計算を簡素化し、最大流量と最大圧力降下のみが提供される状況に対応するために、ファン曲線の単純な線形近似を式 2 で表すことができます。ほとんどの場合、ファン曲線のこの線形近似により、ファン性能曲線の合理的な推定値が得られます。

ΔP max : ファンの最大圧力降下
V max : ファンの最大風量
複数のファンを並べて(並列)使用する場合、ファンの最大風量 V max は 1 つのファンの最大風量×ファンの数になります。
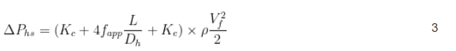
ヒートシンク両端の電圧降下は式 3 に示されます。

空気密度 ρ は周囲空気温度から計算されます。
フィン間のチャネルの 水力直径D hは 2sと近似できます。変数 K c と K e は、それぞれラジエーターに入る空気流とラジエーターから出る空気流の収縮と膨張による圧力損失係数です。これらの圧力損失係数の式は、正面面積の関数であり σ=s/(s + t) 、参考文献 1 に示されている図に基づいています。

見かけの摩擦係数 fapp は、参考文献 [2] で開発されたモデルに基づいています。
、はレイノルズ数、 ν は動粘度です。
式 6 の項
では、ラジエーター フィン間の完全に発達した流れから生じる摩擦係数が考慮されています。完全に発達した流れは、非常に長いチャネル、または流速プロファイルが一定のままの遅い流れで発生します。
ファン/ラジエーターの動作点 (つまり、ファンとラジエーターの圧力/流量曲線の交点) を決定するには、式 2 と式 3 が等化され、未知の変数
が決定されます。
式 9 を使用して、最大の熱伝達を実現する フィン間隔S optを計算します。ここで、 μ と α はそれぞれ空気の粘度と熱拡散率です。この式は Bejan らによって提案されました。参考文献にある。 3.

最適なフィン間隔 S optは、ファンの圧力降下 ΔP fanとヒートシンクの圧力降下 ΔP hsの関数です。システム全体の圧力によってラジエーターを通る流量が決まり、ラジエーターの熱伝達率に影響を与えるのはこの流量です。
式 8 のフィン間隔 sを式 9 に代入し 、結果として得られる式を解くことによってシステムのフロー図を決定します。
式 8 はΔP fanと ΔP hs を等しく解きますが、 式 9 の流れを解くときは式 2 ΔP fanのみを使用する必要があることに 注意してください。式 3 の ΔP hs はフィン間隔 sに依存するため、式 9 の ΔP hsを使用して 流量を解くことは数学的に困難です。
4.ヒートシンクの熱抵抗を計算する
式 8 の解から、ヒートシンクを通る流れの図と流速 V fがわかり 、ヒートシンクの熱伝達率と熱抵抗を決定できます。
参考文献 4 の式 10、11、12、13、14 を使用して、ヒートシンクの平均熱伝達係数 hf を計算します。

ここで、 k は空気の熱伝導率です。
P r は空気のプラントル数で、電子冷却に使用されるヒートシンクの一般的な動作温度範囲では、値 0.71 を使用できます。
したがって、総熱抵抗 ヒートシンクのR hsは次のようになります。
ラジエーターの濡れた表面積 A hsは、ラジエーターを流れる空気と接触する面積です。
式 15 の最初の項はヒートシンクの熱抵抗で、プラス記号の後の項はヒートシンクの底面での熱抵抗です。
多様なに対して ヒートシンク、Wenxuan Thermal Energy は専門的なカスタマイズ機能と多様なアプリケーション市場を備えており、 顧客のさまざまなシステムに合わせて 冷却製品を カスタマイズできます。 それまでの間、私たちはラジエーターを設計する際に 多くの要素を 考慮 し 、ラジエーターの設計の最適化と改善を続けていきます。について他にご質問がある場合 ヒートシンク 、またはお客様のビジネスに適した冷却ソリューションが必要な場合は、お気軽にコメントを残すか、電子メールで Wenxuan までご連絡ください。